The psuedonomous blogger Random Critical Analysis recently released an updated primer on health care costs. The gist of his claim is that stagnant health care labor productivity, combined with the growing intensity of health services largely explain the US’s apparent outlier status with regard to national health expenditures.
According to the Bureau of Economic Analysis, health care employment has experienced a roughly 6-fold increase in its share of US employment since the beginning of the post-war era.[1] The primary driver behind this steady increase is health care’s relatively low rate of improvements in labor-productivity. During the 20th century, sectors such as manufacturing adopted labor-saving technologies such as automation, increasing output while dramatically shrinking employment. Health care failed to discover similar strategies, resulting in the industry accounting for an ever-growing share of overall US employment.
Health care’s Share of US Employment has Substantially Increased
During the past roughly 40 years, health practitioners have slightly increased their share of the industry as a whole.[2] Low rates of labor productivity in direct health care provision push up the practitioner share of overall employment. Physicians and registered nurses, the two largest occupations in the industry, both increased their share of employment within the industry over the period in which data is available.
Practitioner Share of Health Care is Trending Upwards
This tilting of health sector employment towards practitioners is even more apparent looking specifically at hospitals.
Growth in Practitioner Share of Employment: Particularly Strong in Hospitals
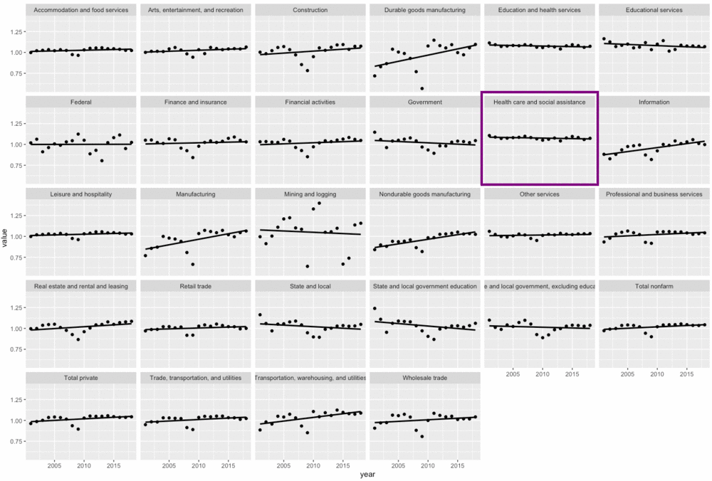
Health Sector Employment Growth is Remarkably Stable
The Job Openings and Labor Turnover Survey (JOLTS) shows that employment growth in “Health Care and Social Assistance”, which includes both health care as well as services such as nursing and childcare, has grown at a near-constant pace over the past few decades. I come to this conclusion by looking at the ratio of total hires to total separations over the roughly 20 year period since the survey’s inception. Relative to all other industry sectors, employment growth was remarkably stable over the period with annual hires consistently about eight percent higher than separations. Health care is also exceptionally recession-proof, with the Great Recession hardly noticed by the industry as a whole. In addition to low labor-productivity growth, an aging population structure and automatic non-discretionary federal spending increases are also likely contributors to the industry’s stable growth trend.

All three of these indicators point to low labor productivity growth in health care. When productivity improvements in a sector fail to keep up with the overall economy, we ought to expect relative price increases. This tendency often referred to as “cost disease”, no doubt at least partially explains why health care spending in the United States is so high.
[1]BEA, NIPA Tables: 6.4 A, 6.4 B, 6.4 C, 6.4 D
[2]CPS Merged Outgoing Rotation Group 1982-2019; Accessed via IPUMS-CPS; Authors calculations using IPUMS Standardized Industry and Occupation Codes.